Dalam Matematika, vektor digunakan untuk menggambarkan berbagai hal yang melibatkan arah dan jarak, seperti kecepatan, gaya, hingga perpindahan suatu benda.
Di bidang koordinat Cartesius, vektor memiliki dua komponen, yaitu horizontal (sumbu X) dan vertikal (sumbu Y). Dengan mengetahui kedua komponen ini, vektor bisa digambar secara tepat dan besarnya (modulus) dapat dihitung dengan rumus matematika.

Perbedaan Vektor
Vektor bisa dibedakan berdasarkan sifat dan fungsinya:- Vektor posisi: menunjukkan posisi suatu titik, pangkal di titik O (0,0).
- Vektor nol: besar nol dan tidak memiliki arah.
- Vektor satuan: besar 1 satuan, digunakan untuk menunjukkan arah.
- Vektor negatif: besarnya sama dengan vektor asal tapi arahnya berlawanan.
- Vektor sama: memiliki besar dan arah identik, meski pangkalnya berbeda.
Operasi Vektor
Vektor tidak hanya punya besar dan arah, tapi juga bisa dioperasikan dengan mudah:1. Perkalian dengan skalar
Mengalikan vektor
.jpg)
membuat besar vektornya n kali lebih besar dan arah tetap sama.
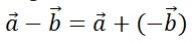
2. Penjumlahan vektor
Bisa dilakukan dengan aturan segitiga (ujung vektor pertama ke pangkal vektor kedua) atau aturan jajargenjang (pangkal kedua vektor sama, resultan adalah diagonal jajargenjang).3. Selisih vektor
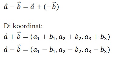
Artinya menjumlahkan vektor pertama dengan vektor negatif dari vektor kedua:
4. Vektor basis

Modulus dan jenis Vektor di Ruang
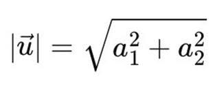
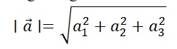
Modulus vektor adalah panjang vektor yang digambarkan sebagai segmen garis berarah. Untuk vektor
.jpg)
Vektor posisi menunjukkan letak suatu titik di ruang koordinat Cartesius, dengan pangkal di

Jenis-jenis Vektor
Berikut jenis-jenis vektor yang perlu diketahui:- Vektor sama: besar dan arah identik.
- Vektor negatif: besar sama tetapi arah berlawanan.
- Vektor nol: besar nol, tanpa arah.
- Vektor satuan: besar 1, menunjukkan arah; bisa dihitung dengan image.png.
Operasi dan perhitungan Vektor di Ruang
Vektor memiliki berbagai operasi yang penting untuk dipahami, baik dalam bidang datar maupun ruang tiga dimensi. Berikut penjelasannya:1. Perkalian Vektor dengan Skalar

2. Penjumlahan dan Selisih Vektor
Penjumlahan vektor di ruang prinsipnya sama dengan di bidang datar. Selisih dua vektor artinya menjumlahkan vektor pertama dengan vektor negatif vektor kedua:
3. Titik Pembagi Garis

4. Perkalian Skalar (Dot Product)
Perkalian skalar antara dua vektor menghasilkan nilai skalar:
5. Proyeksi Vektor

Nah sekarang, simak beberapa contoh soal vektor Matematika Peminatan Kelas X berikut yuk. Ini bisa kamu jadikan latihan di rumah untuk menghadapi ujian.
Contoh soal latihan Vektor
Soal 1
Pada kubus ABCD.EFGH manakah diantara vektor berikut ini yang sama dengan ????????A. ????????
B. ????????
C. ????????
D. ????????
E. ????F
Soal 2
Diketahui vektor ???? = 5i – 3j + 2k, maka panjang vektor ???? adalah ….A. 3
B. 4
C. √20
D. 5
E. √38
Soal 3
Diketahui |a|, |b|, dan |a – b| berturut-turut adalah 4, 6 dan 2 19 . Nilai |a + b| = ....A. 4√19
B. √19
C. 4√7
D. 2√7
E. ½ √7
Soal 4
Diketahui | → a | = √2 , | → b | = √9 , dan | → a + → b | = √5 Besar sudut antara vektor → a dan vektor → b adalahA. 45°
B. 60°
C. 120°
D. 135°
E. 150°
Soal 5
Diketahui vektor ???? =3i − 4 j − 4k , ????⃗ = 2i − j + 3k , dan ???? = 4i − 3 j + 5k . Panjang proyeksi vektor (???? + ????⃗ ) pada ???? adalah….A. 3√2
B. 4√2
C. 5√2
D. 6√2
E. 7√2
Soal 6
Vektor a dan b vektor membentuk sudut a. Diketahui a = 6, b = 15, dan cos a = 0,7; maka nilai a ×(a + b ) = ....A. 49
B. 89
C. 99
D. 109
E. 115
Soal 7
Diketahui bahwa
Jika kosinus sudut antara vektor ???? dan ????⃗ adalah 1/3, nilai p adalah....
A. 4 atau 24
B. −4 atau −24
C. 2 atau 14
D. −4 atau −12
E. −4 atau 14
Soal 8
Diketahui koordinat A(6, -2, -6), B(3, 4, 6) dan C(9, x, y). Jika titik-titik A, B dan C kolinear (segaris), maka nilai x – y sama dengan ....A. –18
B. 4
C. 6
D. 10
E. 18
Kunci jawaban
- C
- E
- D
- D
- B
- C
- A
- D.
Cek Berita dan Artikel yang lain di
Google News
Viral! 18 Kampus ternama memberikan beasiswa full sampai lulus untuk S1 dan S2 di Beasiswa OSC. Info lebih lengkap klik : osc.medcom.id