Dengan mengetahui ukuran-ukuran ini, kita bisa menganalisis informasi secara lebih akurat dan membuat perbandingan antar kelompok data dengan lebih mudah. Pada artikel kali ini, fokus pembahasan akan tertuju pada median data kelompok dan cara menghitungnya secara tepat.
Median jenis ini digunakan ketika data telah dikelompokkan dalam interval tertentu, seperti berat badan, nilai ujian, atau tinggi badan, sehingga tidak bisa langsung ditentukan seperti data tunggal.
Pengertian Median
Berdasarkan modul Matematika SMA kelas 12, median merupakan nilai yang berada di tengah setelah data diurutkan. Median data berkelompok ditentukan dengan rumus:
DOK Modul Matematika Kelas 12
Median terletak pada datum ke ????/2
Keterangan:
L = Tepi bawah kelas median
p = panjang kelas interval
F = frekuensi kumulatif tepat sebelum kelas median
fm = frekuensi kelas median
n = banyak datum
Agar konsep median data kelompok bisa lebih mudah dipahami, mari kita pelajari contoh pembahasan soal secara lengkap.
Contoh soal dan pembahasan
Tentukan median data berat badan 50 orang siswa SMA Merdeka pada tabel berikut:
DOK Modul Matematika Kelas 12
Pembahasan
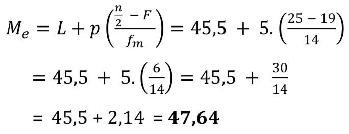
Letak Median pada datum ke n/2 = 50/2 = 25Jadi, letak median pada interval kelas 46 - 50
(dilihat dari frekuensi kumulatif = 33, berarti terletak data ke-20 sampai ke-33)
L = 46 - 0,5 = 45,5 (tepi bawah kelas median)
p = 5 (panjang kelas)
F = 19 (frekuensi kumulatif sebelum kelas median)
fm = 14 (frekuensi kelas median)
Sehingga diperoleh median adalah

DOK Modul Matematika SMA kelas 12
Jadi, median berat badan siswa SMA Merdeka adalah 47,63 kg.Nah, setelah melihat penjelasan dan contoh perhitungan median data kelompok di atas, apakah Sobat Medcom sudah mulai memahami cara menghitungnya? Dengan langkah-langkah yang sistematis, mulai dari menentukan kelas median, menghitung tepi bawah kelas, hingga memasukkan frekuensi dan panjang kelas ke dalam rumus, proses perhitungan median menjadi lebih mudah diikuti.
Semoga informasi ini membantu kamu memahami cara menghitung median data kelompok yaa Sobat Medcom! (Syifa Putri Aulia)
Cek Berita dan Artikel yang lain di
Google News
Viral! 18 Kampus ternama memberikan beasiswa full sampai lulus untuk S1 dan S2 di Beasiswa OSC. Info lebih lengkap klik : osc.medcom.id