Mengingat, TKA pada 2025 hasilnya kurang memuaskan. Hasil TKA bisa dimanfaatkan sebagai salah satu penerimaan mahasiswa baru.
Pada jenjang SMA/MA/Paket C dan SMK/MAK, mata uji TKA terdiri atas tiga mata pelajaran wajib, yaitu Bahasa Indonesia, Matematika, dan Bahasa Inggris, ditambah dua mata pelajaran pilihan. Salah satu pilihan yang tersedia adalah Matematika Tingkat Lanjut.
Matematika Tingkat Lanjut mencakup materi seperti matriks, fungsi, vektor, limit, hingga transformasi geometri. Sebelum membahas soal-soalnya, ada baiknya kenalan dulu dengan TKA dan bocoran jadwal pelaksanaannya.
Apa Itu TKA?
Melansir dari laman Pusmendik Kemendikdasmen, TKA adalah asesmen terstandar yang dirancang untuk mengukur capaian akademik siswa dalam mata pelajaran tertentu. Sifatnya tidak wajib, namun setiap siswa yang mengikutinya akan memperoleh hasil penilaian berbasis individu yang dapat dimanfaatkan untuk berbagai keperluan.TKA lahir dari kebutuhan mendesak akan sistem pelaporan capaian akademik siswa secara individual yang terstandar di tingkat nasional. Selama beberapa tahun terakhir, ketiadaan sistem semacam ini memunculkan sejumlah persoalan, terutama saat capaian belajar siswa dari berbagai sekolah perlu dibandingkan dalam proses seleksi.
Sistem yang selama ini bersandar pada nilai rapor dinilai kurang objektif, mengingat standar penilaian antarsatuan pendidikan bisa sangat berbeda. TKA hadir sebagai jawaban atas persoalan itu, dengan menyediakan acuan penilaian yang seragam, adil, dan dapat dipertanggungjawabkan.
Nah, setelah mengenal TKA lebih dekat, kini saatnya masuk ke bagian yang paling ditunggu. Berikut contoh soalnya!
10 Contoh Soal TKA Matematika Tingkat Lanjut SMA
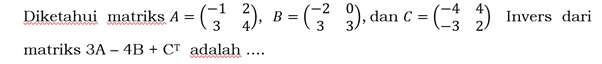
Berikut contoh soal TKA Matematika Tingkat Lanjut untuk jenjang SMA/MA/SMK/MAK/Sederajat yang bisa dijadikan bahan latihan:1. Soal 1

A. 9
B. 8
C. 5
D. -8
E. -20
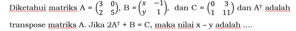
2. Soal 2

3. Soal 3

A. 5
B. 1
C. -1
D. -4
E. -7
4. Soal 4
Diketahui fungsi trigonometri f(x) = –3 sin (2x – 30O) + 4. Periode fungsi f(x) adalah ....A. 90°
B. 120°
C. 150°
D. 180°
E. 720°
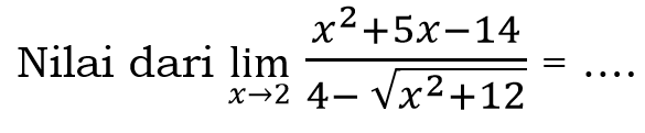
5. Soal 5
Di bawah ini yang merupakan grafik fungsi yang dimaksud adalah ....
A.

B.

C.

D.

E.

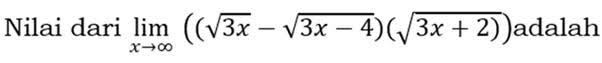
6. Soal 6
Suatu perahu akan menyeberangi sungai selebar 50 meter dari titik A di pinggir sungai. Kecepatan arus sungai 10 meter/menit sejajar dengan pinggiran sungai dengan arah ke hulu dan kecepatan perahu 20 meter/menit dengan arah tegak lurus dengan arah arus sungai. Jika B berada di seberang sungai dan berjarak terdekat dengan posisi A, jarak titik perahu pada saat sampai di seberang sungai dan titik B adalah … meter.A. 10
B. 15
C. 20
D. 25
E. 30
7. Soal 7
Segitiga PQR dengan titik P (-1, 3), Q (3, 3), dan R (1, -2) didilatasi dengan pusat titik (0, 0) dan faktor skala 3. Luas segitiga tersebut setelah dilakukan dilatasi adalah … satuan luas.A. 10
B. 30
C. 90
D. 120
E. 180
8. Soal 8
Bayangan dari kurva y = 2x² – 5 yang ditranslasikan oleh matriks (-3/2) kemudian didilatasikan oleh (O, 2) dengan O merupakan titik koordinat (0, 0) adalah ….
9. Soal 9

A. -18
B. -9
C. 0
D. 9
E. 18
10. Soal 10


Kunci Jawaban
Berikut jawaban dari soal-soal di atas:- B
- C
- E
- D
- E
- D
- C
- C
- A
- D
Kapan TKA SMA 2026 Digelar?
Kepala Pusat Asesmen Pendidikan Kemendikdasmen, Rahmawati, memberikan bocoran jadwal TKA SMA 2026. Dia menyebut pelaksanaan TKA SMA 2026 dijadwalkan berlangsung lebih awal dari tahun sebelumnya."Di akhir Oktober sampai awal November," kata Rahmawati dalam acara Medcom Goes to School di SMAN 34 Jakarta, Selasa, 10 Maret 2026.
Ia menjelaskan jadwal ini maju dari pelaksanaan TKA SMA 2025 yang sebelumnya dimulai pada awal November. "Tahun lalu mulainya tanggal 3 November. Tahun ini kayak maju seminggu," beber dia.
Syarat pendaftaran TKA 2026
Sebelum mengikuti TKA, pastikan kamu memenuhi sejumlah persyaratan berikut ini:- Siswa aktif di jenjang SD/SMP/SMA.
- Terdaftar sebagai peserta didik dalam Data Pokok Pendidikan.
- Memiliki NISN valid.
- Berada di tingkat akhir jenjang (Kelas 6 SD, Kelas 9 SMP, atau Kelas 12 SMA).
- Mengisi formulir TKA.
- Menyatakan setuju ikut TKA pada formulir.
- Mendapatkan persetujuan orang tua untuk mengikuti TKA.
- Mengembalikan formulir yang sudah ditandatangani ke sekolah.
- Mengikuti jadwal TKA
Cara ikut simulasi TKA 2026
Supaya makin siap menghadapi TKA, siswa bisa berlatih terlebih dahulu melalui platform Ayo Coba TKA yang disediakan pemerintah. Berikut langkah-langkahnya:- Buka laman Ayo Coba TKA atau akses langsung di pusmendik.kemdikbud.go.id/tka/simulasi_tka
- Pilih jenjang pendidikan
- Pilih jenis mata pelajaran (wajib atau pilihan)
- Pilih mata pelajaran yang ingin dilatih
- Klik "Mulai Simulasi"
- Login dengan username dan password yang disediakan
- Isi nama dan tanggal lahir
- Masukkan kode token yang sudah disediakan
- Klik "Submit"
- Simulasi TKA siap dimulai
Nah, itulah 10 contoh soal TKA Matematika Tingkat Lanjut SMA lengkap beserta kunci jawaban, hingga bocoran jadwal pelaksanaannya. Semangat belajar ya, Sobat Medcom!
Cek Berita dan Artikel yang lain di
Google News