1. Pangkat bulat positif
Jenis bilangan ini mempunyai eksponen positif, di mana terdiri dari bilangan real yang dilambangkan a, dan pangkat yang dilambangkan n.Contohnya, perkalian 4 x 4 x 4 x 4 x 4 bisa disederhanakan menjadi 4^5 (dibaca empat pangkat lima).
2. Pangkat bulat negatif
Bentuk pangkat ini terdiri dari bilangan real yang dilambangkan a, di mana nilai a tidak sama dengan 0, dan pangkat yang disimbolkan m. Bentuk pangkat bulat negatif adalah sebagai berikut:Sebagai contoh:
3. Pangkat nol
Pangkat jenis ini terdiri dari bilangan real yang dilambangkan a, di mana nilai a tidak sama dengan 0. Bentuk dan contoh dari pangkat nol adalah sebagai berikut:4. Pangkat pecahan

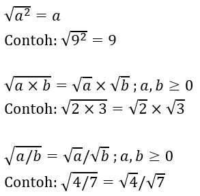
5. Bentuk akar
Bentuk akar adalah bilangan yang jika dimasukkan dalam operasi akan menghasilkan bilangan irasional, di mana tidak bisa disebutkan menggunakan bilangan pecahan a/b dengan a, b = bilangan bulat dan nilainya tidak sama dengan 0.
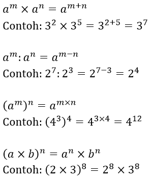
Operasi Bilangan Berpangkat
Dalam operasi bilangan berpangkat, terdapat aturan yang perlu diperhatikan, yaitu perkalian dan pembagian. Aturan perkalian berhubungan dengan bentuk penjumlahan, sedangkan pembagian berkaitan dengan bentuk pengurangan.Berikut operasi dan contoh soal dari bilangan berpangkat:

Itulah sekilas pembahasan mengenai sifat dan operasi bilangan berpangkat. Semoga penjelasan di atas dapat membantu Sobat Medcom yang sedang mempelajari materi ini di sekolah, ya! (Nurisma Rahmatika)
Baca: Mengenal Konsep Integral: Jenis, Teknik Penyelesaian, dan Contoh Soal
Cek Berita dan Artikel yang lain di
Google News
Viral! 18 Kampus ternama memberikan beasiswa full sampai lulus untuk S1 dan S2 di Beasiswa OSC. Info lebih lengkap klik : osc.medcom.id