Sejarah Logaritma
Logaritma berawal dari seorang ahli matematika berkebangsaan Inggris, John Napier. Pada tahun 1614, Napier mengemukakan metode logaritma dalam bukunya berjudul Mirifici Logarithmorum Canonis Descriptio.Kata “logaritma” berasal dari bahasa Latin yakni “Logaritmus”, dengan pecahan kata berbahasa Yunani “logos” dan “arithmos” yang artinya “rasio-bilangan”. Penemuan Napier membuat ilmuwan lainnya kagum dan terkesan, karena berkat penemuannya, mereka bisa mengerjakan dan menyelesaikan operasi hitung perkalian dan pembagian yang sulit dengan mudah dan cepat.
Logaritma memiliki sifat-sifat yang harus dipahami guna memudahkan penyelesaian soal, sifat-sifat tersebut yakni:

Dalam mata pelajaran matematika, persamaan logaritma adalah persamaan yang terdiri dari dua bentuk logaritma di kanan dan kiri, numerus keduanya digabungkan oleh tanda sama dengan (=). Sebetulnya, bentuknya sama seperti logaritma pada umumnya, hanya saja dalam persamaan logaritma, bentuk logaritmanya ada di kanan dan kiri.
a log f(x) = a log n
a log f(x) = a log g(x)
a log f(x) = b log f(x)
f(x) log g(x) = f(x) log h(x)
f(x) log h(x) = g(x) log h(x)
a(a log f (x))2 + b(a log f(x)) + C = 0
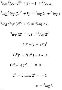
Agar Sobat Medcom tidak bingung dengan penjelasan logaritma, berikut adalah contoh soal dan pembahasan yang dilansir dari laman Zenius.net :

Foto/Zenius
Pembahasan:

Foto/Zenius
Sekian penjelasan tentang logaritma, beserta sejarah, sifat-sifat, persamaan, dan contoh soal lengkap beserta penjelasannya. Semoga bisa memudahkan Sobat Medcom untuk belajar dan menumbuhkan semangat belajar. (Annisa Ambarwaty)
| Baca juga: Ini Cara Membandingkan Bilangan Bulat Besar dengan Melihat Nilai Tempatnya |
Cek Berita dan Artikel yang lain di
Google News
Viral! 18 Kampus ternama memberikan beasiswa full sampai lulus untuk S1 dan S2 di Beasiswa OSC. Info lebih lengkap klik : osc.medcom.id