Jika digambarkan dalam garis fungsi, seperti ini bentuknya:

Pada garis fungsi di atas terdapat tiga titik yaitu f(a), f(b), dan f(c). Oleh karena itu titik stasionernya adalah:
- f(a)
- f(b)
- f(c)
- (a, f (a))
- (b, f(b))
- (c, f(c))
Tentukan titik stasioner fungsi berikut:

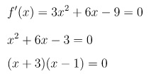
Catatan: nilai fungsi dari titik stasioner harus sama dengan nol (f’(x)=0), sehingga turunan dari fungsi di atas adalah:

Sehingga, nantinya nilai x:

Setelah ditemukan nilai x, barulah nilai f(x) untuk mendapatkan titik stasioner bisa ditemukan. Pertama adalah mencari nilai fungsi f(-3):

Artinya, fungsi f(-3), titik stasioner ada pada titik (-3,31)
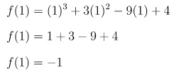
Selanjutnya adalah mencari nilai fungsi f(1)

Artinya, fungsi f(1), titik stasioner pada titik (1,-1)
Itulah pengertian, rumus, dan cara menentukan titik stasioner. Mudah bukan Sobat Medcom? (Annisa Ambarwaty)
Cek Berita dan Artikel yang lain di
Google News
Viral! 18 Kampus ternama memberikan beasiswa full sampai lulus untuk S1 dan S2 di Beasiswa OSC. Info lebih lengkap klik : osc.medcom.id