Dilansir dari laman Zenius, berikut penjelasan lebih lanjut mengenai energi potensial, mulai dari definisi, jenis-jenisnya, dan rumusnya.
Pengertian energi potensial
Energi potensial merupakan energi yang dimiliki oleh suatu objek yang diperoleh akibat posisi atau kedudukan benda tersebut. Satuan energi potensial dalam Sistem Internasional (SI) sendiri adalah Joule.Energi potensial disebut juga sebagai energi diam karena benda yang dalam keadaan diam dapat memiliki energi. Apabila benda tersebut bergerak, benda akan mengalami perubahan potensial yang menjadi energi gerak (energi kinetik).
Jenis-Jenis Energi Potensial
1. Energi potensial gravitasi
Energi potensial gravitasi merupakan perubahan energi yang dipengaruhi oleh adanya gravitasi bumi. Energi ini ditemui oleh Isaac Newton yang mulanya mengetahui buah di pohon yang jatuh ke tanah. Benda-benda yang jatuh dari suatu ketinggian merupakan salah satu contoh dari energi potensial gravitasi.2. Energi potensial pegas
Energi potensial pegas juga disebut dengan energi potensial elastis yang terjadi karena adanya regangan ataupun tegangan dari suatu benda yang memiliki sifat elastis. Eenergi potensial pegas terjadi karena adanya kecenderungan benda untuk tetap berada pada posisi semula. Contohnya busur panah yang ditarik memiliki energi potensial elastisitas dalam tali busur.3. Energi potensial listrik
Energi potensial listrik adalah energi yang dimiliki benda karena adanya arus listrik. Contoh energi potensial listrik yakni menyalakan komputer, lampu, sampai kebutuhan industri pabrik untuk menyalakan mesin-mesin produksi.Rumus energi potensial
Setelah mengetahui pengertian beserta jenis dan contohnya, berikut rumus energi potensial untuk mencari tahu berapa besaran energi potensial dari suatu benda:1. Rumus energi potensial gravitasi
Ep = m.g.hKeterangan:
Ep = energi potensial gravitasi (Joule)
m = massa benda (kg)
g = gravitasi bumi (m/s2)
h = ketinggian benda (meter)
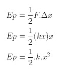
2. Rumus energi potensial pegas

Keterangan:
Ep = energi potensial pegas (Joule)
k = konstanta Coulomb
x = perubahan posisi benda (meter)
* konstanta Coulomb:
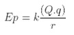
3. Rumus energi potensial listrik

Keterangan:
Ep = energi potensial listrik (Joule)
k = konstanta Coulomb
Q = muatan sumber (Coulomb)
q = muatan uji (Coulomb)
r = jarak antara muatan Q dan q (meter)
* konstanta Coulomb:

Demikian penjelasan mengenai pengertian energi potensial lengkap dengan jenis, contoh, berserta rumusnya. (Nabila Ramadhanty Putri Darmadi)
| Baca juga: Memahami Perubahan Bentuk Energi, Ini Dia Penjelasan, Bentuk, dan Contohnya |
Cek Berita dan Artikel yang lain di
Google News